Ciencia y tecnología
Medir la constante gravitatoria con antimateria
Ésta podría no ser la manera más intuitiva de medir g, la constante de aceleración de gravitatoria. Sin embargo, es lo que está tratando de conseguir un equipo de alrededor de 50 científicos de la colaboración AEgiS...
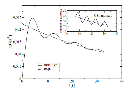
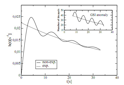
Explicada finalmente la anomalía de la desintegración radiactiva (tal vez)
Un viejo misterio sobre las oscilaciones periódicas en la descomposición de algunos elementos, puede haber sido finalmente resuelto. En 2007, los físicos del acelerador de iones pesados ​​GSI en Darmstadt,...
Fallece John McCarthy, padre de la inteligencia artificial y del lenguaje informático Lisp
El prestigioso informático falleció ayer lunes en California a los 84 años. Entre sus méritos destaca un Premio Turing, el Nobel de la informática. John McCarthy, el prestigioso informático que introdujo el término...
La NASA explica la causa de la explosión estelar más antigua que se conoce
Fue documentada hace 2000 años por astrónomos chinos. Brilló a simple vista en el cielo durante ocho meses. La Agencia Espacial de Estados Unidos, NASA, ha encontrado explicación a la explosión estelar más antigua...
Un aparato sigue la evolución del corazón en tiempo real
El dispositivo es capaz de interpretar los datos que recoge y avisar cuando algo se sale de los parámetros normales. El aparato adherido a la piel detecta anomalías en el ritmo cardiaco de la persona en tiempo...
Clona coyotes tras escándalo en 2005
El polémico científico surcoreano Hwang Woo-suk, que en 2005 engañó al mundo al anunciar una falsa clonación de embriones humanos, ha conseguido clonar ocho coyotes, según informó hoy el gobierno de la provincia de...